鈣鈦礦是一類具有高度對稱的緊密堆積結構的材料,由于其化學和物理性質的多樣性,在過去的數十年中已被廣泛研究。近幾年來,基于無機有機雜化鈣鈦礦的太陽能電池吸引了前所未有的關注,多晶薄膜鈣鈦礦光伏器件的功率轉換效率已經超過22.1%。但是目前雜化鈣鈦礦材料的穩定性非常差,當暴露在光照下以及在受熱或者與水/氧氣接觸的情況下很容易在短時間內降解失效。另外,目前主流的雜化鈣鈦礦材料(CH3NH3PbI3)含有有毒的重金屬元素鉛,不僅將污染環境,也會損害人的健康。這些問題嚴重制約了鈣鈦礦光伏器件的大規模商業應用。為了解決這些問題,基于無毒元素并兼具較高的結構穩定性的無機無鉛鈣鈦礦已被引入到鈣鈦礦太陽能電池領域,并且引起了研究人員極大的關注。

圖一,通過對于一些列的A2TiI6的電子結構的計算得出了可能的帶隙,發現當A原子是Cs的時候帶隙較為合適,吸光能力也較強。

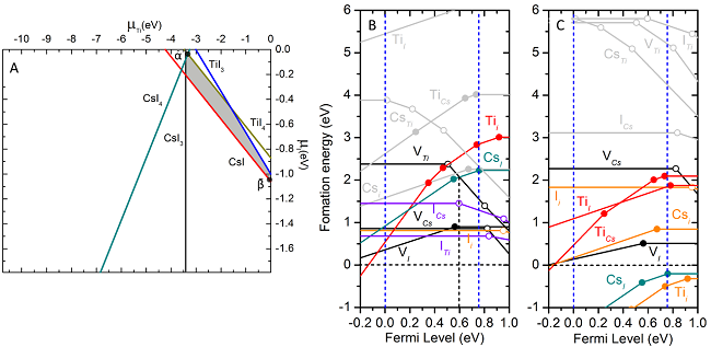
圖二,針對可能的分解產物進行了化學勢的計算,同時針對可能的缺陷態驚醒了計算,得到該Cs2TiI6較為穩定并且呈現N型的特征。

圖三,實驗合成Cs2TiI6-xBrx,發現其帶隙覆蓋1.0-1.8 eV的區域,是太陽能電池吸光層材料的理想帶隙。

圖四,通過對于Cs2TiI6-xBrx電子結構和帶隙的計算驗證了上述吸收光譜。

圖五,首先通過AIMD模擬Cs2TiI6-xBrx系列的穩定性,通過對于穩定性的一列實驗(熱穩,473K,一小時;濕穩,70%RH,298K),發現Cs2TiI6-xBrx呈現了良好的穩定性。
首先利用第一原理理論計算對于一系列無鉛含鈦雙鈣鈦礦鹵化物材料進行了深入研究。通過計算這些鈣鈦礦材料的帶隙和光吸收譜,發現Cs2TiI6-xBrx鈣鈦礦具有適宜的準直接帶隙(在1.0-1.8 eV的最佳光轉換效率范圍內)以及非常好的光學吸收性能。進一步的研究發現它們也具有良好的穩定性和載流子遷移性能。基本以上的預測,我們合成了一系列的無鉛含鈦雙鈣鈦礦鹵化物材料。其具有良好的穩定性以及吸光性能。這些優良的性質使這種材料很有希望成為優異的太陽能電池吸收層材料。
文章來源:solar.ofweek.com
關注行業動態,了解產業信息,以實現與時俱進,開拓創新,穩步發展。
標簽:   鈦基 鈣鈦 光伏

